
[编者按]
共和国新闻史上,有不少新知名篇也曾颤动东谈主心,今天读来依旧心潮澎湃。
春天,是启航的季节。这个春天,澎湃新闻记者重访“新知名篇”故事发生地、东谈主物出身地,再现壮阔的历史一刹,更实地感受今昔沧桑剧变。那是共和国的来时路。
今天回拜的是新知名篇《喜看稻菽千重浪——记首届国度最高技术奖获取者袁隆平》的主东谈主公袁隆平也曾久责任、生涯的方位。

筹算:王璐瑶凤凰彩票官方网站
4月中旬的湖南长沙,春雨绵绵。
4月15日下昼,在隆平水稻博物馆内,从浙江杭州来长沙旅游的包女士,看到袁隆平写给母亲的信《姆妈,稻子熟了》时,不禁热泪盈眶。
“我出身于1956年,小期间饿过肚子。莫得袁隆平,全球吃不饱饭。咱们要感谢他。”眼角挂着泪痕的包女士说,此次到长沙,她专门来隆平水稻博物馆望望。
个东谈主侥幸转弯的背后,映射着一个国度食粮安全的转机。
2001年2月22日,《科技日报》头版刊发了由知名科普作者、时任《科技日报》无邪记者部主任沈英甲采写的东谈主物通信《喜看稻菽千重浪——记首届国度最高技术奖获取者袁隆平》(以下简称《喜看稻菽千重浪》)。

2001年2月22日,《科技日报》刊发的东谈主物通信《喜看稻菽千重浪——记首届国度最高技术奖获取者袁隆平》。图片
《喜看稻菽千重浪》写谈:“杂交水稻的权术奏效开辟了食粮大幅度增产的新门路,大面积施行给我国水稻出产带来了一次飞跃。有东谈主统计过,杂交水稻比惯例稻增产20%傍边,1976—1999年,每年增产的稻谷不错奉养6000万东谈主口,为从根柢上处置我国食粮自力餬口艰苦作出了时弊孝敬。”
这篇通信刊发几年后入选粤教版《高汉文文(必修五)》,后经沈英甲本东谈主修改又选入2019年秋负责插足使用的教授部统编版庸俗高汉文文必修讲义,影响深切。许多东谈主额外是青少年一代,不仅了解了“杂交水稻之父”、中国工程院院士袁隆平为我国食粮自力餬口所作念出的孝敬,而况被他的革命精神所激发、饱读吹。
如今,距这篇通信发表已25年,距袁隆平院士灭一火也已5年,他也曾久责任的湖南杂交水稻权术中心有了哪些新变化?他最关怀的杂交水稻权术有了哪些新发扬?他的“禾下歇凉梦”和“杂交水稻粉饰全球梦”是否后继有东谈主?
近日,澎湃新闻记者来到湖南长沙,走进袁隆平也曾久责任的湖南杂交水稻权术中心、国度杂交水稻工程时刻权术中心,为这些问题寻找谜底。
2001年2月22日,东谈主物通信《喜看稻菽千重浪——记首届国度最高技术奖获取者袁隆平》在《科技日报》头版刊发。其中写谈,几天后就要赴京领取国度最高技术奖的袁隆平,仍在田间翻看泥土。25年之后,杂交水稻单产量再革命高,他的“禾下歇凉梦”后继有东谈主。澎湃新闻记者:程婷剪辑:马潇筹算:王璐瑶(03:40)
“变”与“不变”
4月中旬的长沙,细雨中迷漫着香樟树的花香。
从隆平水稻博物馆往东朔标的行车不到4公里,就到了位于马坡岭的湖南杂交水稻权术中心。这是湖南省农业科学院下属副厅级行状单元,由袁隆平于1984年创立,是中国首家杂交水稻专科科研机构。1995年,国度杂交水稻工程时刻权术中心依托该权术中心成立。
这里是袁隆平东谈主生后半程经久责任、生涯的方位。

湖南杂交水稻权术中心行政楼,袁隆平以前的办公室位于该楼三层东侧。本文图片除专门标注外,均为澎湃新闻记者程婷摄
《喜看稻菽千重浪》开篇写谈:“2001年春节事后的第二天,湖南长沙马坡岭笼罩在薄雾之中,空中经常飘下雨点。袁隆平眯起双眼,出神地端量着这几百亩闇练田,然后跨过水渠,迈步走进田间。他蹲下身子翻看着泥土。”
近日,回忆那次采访时,沈英甲说,“当年袁先生是因为我卷起裤腿跟他沿路下田,才清凉搭理接受采访。”
已年过七旬的沈英甲还谨记,当年他采访扫尾向袁隆平辞行,袁隆平专门起了个大早送他。沈英甲提议想要一簇超等稻种作操心,袁隆平睁大了双眼看着他说:“要若干?要若干我都给你!”因此,那天早上,沈英甲是执着一簇超等稻种离开雾蒙蒙的长沙马坡岭的。
25年畴昔后,许多东西都变了,许多东西还没变。
如今,从湖南杂交水稻权术中心西南门出来,沿着东湖路下行约300米,依然还能看到袁隆平曾频繁劳顿的那片科研闇练田。

袁隆平曾频繁劳顿的科研闇练田。
在这片闇练田对面建筑的墙上,一幅袁隆平稽察稻穗图格外谨防。图中的袁隆平,手里捏着稻穗,仿佛濒临着目下这片闇练田若有所念念。

闇练田对面的建筑墙面上,是一幅袁隆平稽察稻穗的丹青。
国度杂交水稻工程时刻权术中心主任邓华凤说,由于城市发展等原因,2015年湖南杂交水稻权术中心将科研基地外搬至长沙县春华镇金鼎山闇练基地,那内部积更大,科研才智拓荒也好;当今马坡岭这片闇练田已不再是承担闇练责任的主阵脚。
邓华凤1984年从湖南省安江农校毕业后留校责任,后于1998年调入湖南杂交水稻权术中心责任。他师从袁隆平,经久从事杂交水稻权术。
在袁隆平的启发激发下,邓华凤于1987年头次发现籼稻温敏核不育材料,之后育成世界上首个籼型水稻温敏核不育系——被袁隆稳重名为“安农S-1”,并创建了两系法杂种上风哄骗时刻体系。
“袁至意的家就在湖南杂交水稻权术中心院内。他从家里出来,穿过一小段香樟绿谈,往左手边一行,就到了他办公室所在的行政楼。”邓华凤说,“进入行政楼后,右手边即是电梯,袁至意一般乘电梯到他在三楼东侧的办公室。”
2021年5月22日,袁隆平在长沙与世长辞,享年91岁。他设在办公室旁的会客室,还保持着他辞世时的形势:内部摆放着几张沙发,墙上挂着巨幅的水稻熟习的图片,图上写着“湖南溆浦初次亩产冲突1000公斤”,题名是“袁隆平”。
“袁至意以前经常在这里会客,他很可爱这幅图。”邓华凤说。

袁隆平生前办公室旁的会客厅内,有一幅稻穗图,上头写有“湖南溆浦初次亩产冲突1000公斤”。
“在列国水稻科研责任者心目中,位于长沙马坡岭的国度杂交水稻工程时刻权术中心已成为圣地。”沈英甲在《喜看稻菽千重浪》中写谈。
在途经湖南杂交水稻权术中心内的杂交水稻培训中心大楼时,邓华凤说:“有许多来自国表里的业界东谈主士来这里参加杂交水稻相干培训、学习。”
谈到变化,湖南杂交水稻权术中心主任、湖南农业大学校长唐文帮说,当今的科研条款比以前好了许多。“上世纪90年代咱们搞育种是‘一把尺子一杆秤,手扒脚蹬’,如今咱们有世界最初的水稻权术实验条款,仪器拓荒能作念到纳米、微米级别。我当今一般周末或假期下田,正常主要在实验室。因为当今田间数据能平直传回实验室,我在岳麓山实验室不下田就不错掌执团队数据。”唐文帮自重地说谈。

位于长沙岳麓山实验室的“杂交水稻寰球重心实验室”。
“吃饱”到“吃好”
一幅图和“湖南溆浦,初次亩产冲突1000公斤”这短短十几个字,记录了一个蹙迫历史时刻。
2014年10月10日上昼,农业部组织行家对由袁隆平领衔的第四期中国超等稻亩产1000公斤攻关口头进行了测产。测产扫尾披露,湖南省溆浦县第一期超等稻百亩片亩产跨越了1000公斤,创造了1026.7公斤的新记录。
2001年刊发的《喜看稻菽千重浪》里则是另一番情况:“当今咱们闇练田种的杂交稻每亩产700千克,农民种的亩产能达到800千克致使更高,因为他们大宗接管有机肥。还有比这更令他忻悦的事吗?”
《喜看稻菽千重浪》还写谈:“杂交水稻的权术奏效开辟了食粮大幅度增产的新门路,大面积施行给我国水稻出产带来了一次飞跃。有东谈主统计过,杂交水稻比惯例稻增产20%傍边,1976—1999年,每年增产的稻谷不错奉养6000万东谈主口,为从根柢上处置我国食粮自力餬口艰苦作出了时弊孝敬。
“1997年,凤凰彩票官方网站袁隆平提议了超等杂交稻选育的目的、株型模式和时刻阶梯,选育出一批具有超高产后劲、米质优良的亚种间苗头组合,小面积最高产量达每亩1139千克(每公顷日产107.4千克),达到了日产量100千克/公顷的超等稻产量目的。若是按年施行2亿亩计,年增食粮可奉养7000多万东谈主口。袁隆平对我说,这是对看上去颜料显得相称深千里的好意思国经济学家布朗‘将来谁来奉养中国’疑问的有劝服力的回报。
“好意思国粹者唐·帕尔伯格在他《走向丰衣足食的世界》一书中写谈:袁隆平使‘饥饿的威迫在裁撤,袁正指挥咱们走向一个养分富余的世界’。”
对于袁隆平投身杂交水稻权术的缘故,《喜看稻菽千重浪》中写谈:“20世纪五六十年代我国浩荡发生的饥荒给袁隆平留住了刻骨铭心的印象。当时在湖南一所偏僻山村农校——湘西雪峰山麓的安江农校任教的后生袁隆平便下定决心,拼尽终生元气心灵用农业科技投降饥饿。”
但袁隆平的遐想不啻于处置饱暖问题。
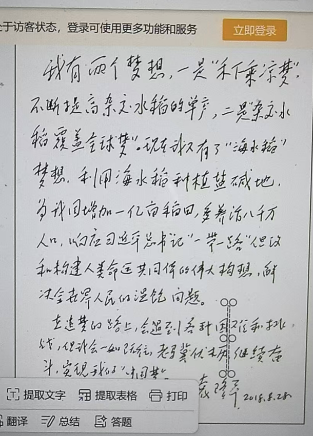
2019年10月23日,袁隆平曾在《东谈主民日报》刊发著作自述过他的两个遐想。他说:“科学探索无额外,在这条漫长而又渊博的路上,我一直有两个梦,一个是禾下歇凉梦,一个是杂交水稻粉饰全球梦。”
“你知谈‘禾下歇凉梦’的本义是什么吗?”湖南杂交水稻权术中心主任唐文帮抛出问题后评释注解谈,“这个袁至意曾明确谈到过,即是‘高产’——赓续提升杂交水稻的单产。”

袁隆平2018年亲笔写下的三个遐想。湖南杂交水稻权术中心供图
袁隆平灭一火之后,杂交水稻的单产又有了冲突性提升。
“袁至意生前镂骨铭心的亩产1200公斤,8年没搞出来,这跟‘爬坡’接洽。”唐文帮说,“在他离开后,咱们调遣了攻关念念路,按照他最早提议的‘亚种间杂种上风哄骗’标的去作念,2023年竣事亩产冲突1251公斤,刷新了超等稻单季产量世界记录。”
“为进一步冲突单产量,咱们在湖南省的支撑下,由岳麓山实验室、湖南省农科院杂交水稻中心、湖南农业大学构成团队,借助数字时刻、东谈主工智能搞杂交水稻育种,目前正在通过东谈主工智能对杂交水稻单产量、性状等进行建模。”唐文帮先容。
在竣事“吃饱”、高产主见的同期,杂交水稻权术团队也在赓续追求奈何让全球“吃好”、吃得安全健康。
“在培育出亩产冲突1251公斤的品种前,我和我的团队培育了一种亩产跨越1200公斤的品种‘卓两优1126’。咱们把高效肥料哄骗基因、抗病基因等都融到了品种里,栽种中不依赖‘大肥硕水’的插足模式,还能竣事高产、高效、厚味。”唐文帮先容,目前,“卓两优1126”品种已在湖南、云南、贵州、海南等地施行栽种。
他说,以前杂交水稻追求“高产+品性”,当今追求“品性带动高产”,要求“优质、高效、高产”。
袭取“禾下歇凉梦”
这些后果的背后,尽是杂交水稻“育种东谈主”克难攀高的故事。
转头与袁隆平相干的旧事时,唐文帮说,“袁至意即是不信‘自花授粉作物莫得杂种上风’,那么多东谈主反对超高产,他维持作念;2016、2017年那么多东谈主说耐盐碱水稻是‘伪命题’,他顶着压力作念。”
如今,新一代“育种东谈主”袭取了袁隆平的遐想,也袭取了他永无额外地攀高与勇于赓续革命冲突的精神。
袁隆平晚年,在“两个遐想”除外又提议了“海水稻”遐想,将很大一部分元气心灵投向了耐盐碱水稻权术。
“袁至意这是出于政策商酌。”唐文帮说,“当今咱们在食粮上‘无近忧’,但吃饭问题恒久是头等大事。耐盐碱水稻就像核火器,不错无用,但需要时必须有。”
当今,“箐两优3261”等相宜滨海盐渍地大面积施行栽种的水稻品种已被培育出来,在千分之三盐度的滨海盐碱地上能踏实产粮,且米质达到行业一级优质规范。
对于杂交水稻施行,邓华凤提到,面前边临“三高一低”(劳能源老本、农资老本和地盘老本升高,导致栽种效益裁汰),农业机械化率低,食粮未按用途分类、专用化进度不够等问题。
对于这种看似与育种时刻无关的挑战,新一代“育种东谈主”提议了从育种时刻启航的处置决议。
比如,针对“三高一低”问题,培育抗病抗虫、氮磷钾高效哄骗的品种,从而达到减少农药和化肥使用、裁汰老本的效果;针对机械化率低,培育抗倒伏、不易脱粒、整王人度高的稳健机械化收割的品种;针对专用化进度不够,培育专用型杂交水稻,如酿酒专用稻,进行区域化栽种。
“以前只求吃饱,当今还要厚味、排场、好闻、加工性好,致使吃了不长胖。”唐文帮也谈到,濒临新时局、新挑战,杂交水稻要发展,必须在品种、品性、品位、品牌高下功夫,作念极品农业,与时俱进。
谈到袁隆平的“杂交水稻粉饰全球梦”,唐文帮暗意,“这方面,中国的东谈主、时刻、资源也曾‘走出去’了,菲律宾、巴基斯坦、孟加拉、印尼、马达加斯加等国都在施行栽种咱们的杂交水稻。”

隆平水稻博物馆内,教授员带领旅客了解杂交水稻为世界所作的孝敬。
他以为,濒临全球种业竞争,额外是生物育种时刻的迅猛发展,杂交水稻要保持最初,就要拥抱变革,主动竞逐。
“第三代杂交水稻(智能不育系时刻)咱们已作念好时刻储备,一朝相干政策放开,不错立即应用。”唐文帮先容,这是比现存两系法更轻便高效的育种时刻。
对于身兼湖南杂交水稻权术中心主任和湖南农业大学校长两个蹙迫职务的唐文帮来说,培养“禾下歇凉梦”的交班东谈主,是和培育更多优良杂交水稻新品种同等蹙迫的事。

隆平水稻博物馆展厅内,有个一株巨型水稻雕琢。
唐文帮暗意,袁隆平生前很爱好东谈主才培养。他灭一火后,湖南省袁隆平农业科技奖励基金会与袁隆平慈善信赖出资成就的袁隆平追梦奖学金,面向湖南农业大学等9所高校作物学及食粮安全相干专科的全日制学生,每年每校评比4东谈主,包括2名本科生、1名硕士权术生和1名博士权术生,奖励规范分离为每东谈主1万元、2万元和3万元。
唐文帮担任湖南杂交水稻权术中心主任后,濒临科研与行政东谈主员比例失衡、年岁结构断层等问题,梳理并重建了东谈主才体系。
他成立“基础权术靠引进,应用东谈主才靠培养”的原则,建立了明晰的东谈主才工程体系,并推动成立了商场化平台“国创高科”,以处置科研东谈主员待遇、后果滚动等问题。
不仅如斯,唐文帮积极推动以岳麓山实验室为纽带,鼓吹农业边界教授科技东谈主才体制机制一体篡改责任。湖南农业大学和湖南省农科院通过共建指挥机构、共聘院(所)长、王人集鼓吹党支部共建、共建学术委员会,一体鼓吹学生共培、东谈主才引育、科研共创、资源分享,近400名科研东谈主员被聘为湖南农业大学兼职闇练,一个“教授、科技、东谈主才、产业”一体鼓吹的良性轮回正在变成。
“禾下歇凉梦”如今已化为一代代农业科技责任者脚踏地面的坚十萍踪。梦在延续,它关乎产量,更关乎质地;关乎地盘,也关乎健康;关乎时刻冲突,更关乎精神传承。
稻浪千重,梦有更生,后继之东谈主,门径不休。

筹算:王璐瑶
米兰milan(中国)体育官方网站